RoA
Système permettant de mesurer l'audience des radios en ligne.
ABSTRACT
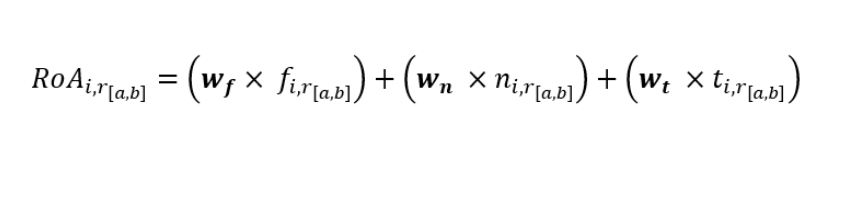
In this paper, we have developed a new measure called (Radio Online Audience) of the audience rate of a web radio station. The is a method that uses real-time audience tracking and measurement technologies to provide a more accurate estimate of the audience rate of web radios. It is a composite formula that incorporates the radio broadcast frequency, the number of radio listeners and the average listening time of all radio listeners. In order to implement the new measure, an experiment is being conducted on a family of twelve radios from the “AfricaWebRadio” ecosystem. We have also extended the experiment on the results of the ranking of radio stations (March 2023) carried out by the ACPM (Alliance for Press and Media Figures). The experimental results are promising.
Informations projet
- Client IITECH
- Date projet 2023
- Visitez le lien du projet